1707๋ฒ: ์ด๋ถ ๊ทธ๋ํ
์ ๋ ฅ์ ์ฌ๋ฌ ๊ฐ์ ํ ์คํธ ์ผ์ด์ค๋ก ๊ตฌ์ฑ๋์ด ์๋๋ฐ, ์ฒซ์งธ ์ค์ ํ ์คํธ ์ผ์ด์ค์ ๊ฐ์ K(2≤K≤5)๊ฐ ์ฃผ์ด์ง๋ค. ๊ฐ ํ ์คํธ ์ผ์ด์ค์ ์ฒซ์งธ ์ค์๋ ๊ทธ๋ํ์ ์ ์ ์ ๊ฐ์ V(1≤V≤20,000)์ ๊ฐ์ ์ ๊ฐ์
www.acmicpc.net

์ ๋ ฅ
์ ๋ ฅ์ ์ฌ๋ฌ ๊ฐ์ ํ ์คํธ ์ผ์ด์ค๋ก ๊ตฌ์ฑ๋์ด ์๋๋ฐ, ์ฒซ์งธ ์ค์ ํ ์คํธ ์ผ์ด์ค์ ๊ฐ์ K(2≤K≤5)๊ฐ ์ฃผ์ด์ง๋ค. ๊ฐ ํ ์คํธ ์ผ์ด์ค์ ์ฒซ์งธ ์ค์๋ ๊ทธ๋ํ์ ์ ์ ์ ๊ฐ์ V(1≤V≤20,000)์ ๊ฐ์ ์ ๊ฐ์ E(1≤E≤200,000)๊ฐ ๋น ์นธ์ ์ฌ์ด์ ๋๊ณ ์์๋๋ก ์ฃผ์ด์ง๋ค. ๊ฐ ์ ์ ์๋ 1๋ถํฐ V๊น์ง ์ฐจ๋ก๋ก ๋ฒํธ๊ฐ ๋ถ์ด ์๋ค. ์ด์ด์ ๋์งธ ์ค๋ถํฐ E๊ฐ์ ์ค์ ๊ฑธ์ณ ๊ฐ์ ์ ๋ํ ์ ๋ณด๊ฐ ์ฃผ์ด์ง๋๋ฐ, ๊ฐ ์ค์ ์ธ์ ํ ๋ ์ ์ ์ ๋ฒํธ๊ฐ ๋น ์นธ์ ์ฌ์ด์ ๋๊ณ ์ฃผ์ด์ง๋ค.
์ถ๋ ฅ
K๊ฐ์ ์ค์ ๊ฑธ์ณ ์ ๋ ฅ์ผ๋ก ์ฃผ์ด์ง ๊ทธ๋ํ๊ฐ ์ด๋ถ ๊ทธ๋ํ์ด๋ฉด YES, ์๋๋ฉด NO๋ฅผ ์์๋๋ก ์ถ๋ ฅํ๋ค.
์ฐ์ ์ด ๋ฌธ์ ๋ฅผ ํ๊ธฐ ์ ์ ์ด๋ถ ๊ทธ๋ํ์ ๋ํ ์๋ฏธ๋ฅผ ์ง๊ณ ๋์ด๊ฐ์ผ๊ฒ ๋ค.

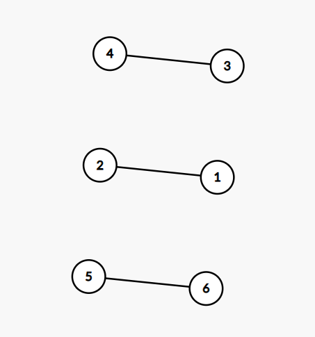
์ด๋ถ ๊ทธ๋ํ๋ ์์ ๊ทธ๋ฆผ์ฒ๋ผ ์ธ์ ํ ๋ ธ๋๋ฅผ ๋ค๋ฅธ ์์ผ๋ก ์น ํ์ ๋ ๋ ๊ฐ์ง ์์ผ๋ก ํํ ๊ฐ๋ฅํ ๊ทธ๋ํ๋ฅผ ๋งํ๋ค.
๋์ถฉ ๊ฐ์ด ์ค์ง ์๋๊ฐ?
๋ณธ์ธ์ BFS๋ฅผ ํ์ฉํ์ฌ ๋ฌธ์ ๋ฅผ ํด๊ฒฐํ์๊ณ DFS๋ก๋ ํด๊ฒฐ ๊ฐ๋ฅํ ๊ฒ์ผ๋ก ๋ณด์ธ๋ค.
ํด๊ฒฐ ๋ฐฉ๋ฒ
๊ฐ์ ์ ๋ณด๋ฅผ ์ ์ฅํ ๋ฐฐ์ด๊ณผ ๋ฐฉ๋ฌธ ์ฌ๋ถ๋ฅผ ์ ์ฅํ ๋ฐฐ์ด, ๋ ๊ฐ๋ฅผ ์ ์ธํ๋ค.
์๋ฐฉํฅ ํ์์ด ํ์ํ๋ฏ๋ก ๊ฐ์ ์ ๋ณด๋ฅผ ์ ์ฅํ ๋ ์๋ฐฉํฅ์ผ๋ก ์ ์ฅํด์ค๋ค.
์ดํ BFS๋ฅผ ํตํด ํ์์ ์งํํ๋๋ฐ ์ธ์ ํ ๋ ธ๋๋ฅผ ๋ฐฉ๋ฌธํ๋ฉด ํ์ฌ ๋ ธ๋์ ๋ค๋ฅธ ์(?)์ผ๋ก ์น ํด์ฃผ๋ ๊ฒ์ด ํต์ฌ์ด๋ค.
1. ํ์ฌ ๋ ธ๋๋ฅผ 1๋ก ์ค์ ํ๊ณ ์ธ์ ํ ๋ ธ๋๊ฐ ๋ฐฉ๋ฌธํ์ง ์์ ๊ฒฝ์ฐ ์ธ์ ํ ๋ ธ๋๋ฅผ -1๋ก ์ค์ ํ๋ค.
(1 : RED, -1 : BLUE๋ผ๊ณ ์๊ฐํ๋ฉด ์ดํดํ๊ธฐ ์ฌ์ธ ๊ฒ์ด๋ค.)
2. ์ด๋ฏธ ๋ฐฉ๋ฌธํ ๋ ธ๋์ธ ๊ฒฝ์ฐ ํ์ฌ ๋ ธ๋์ ์ธ์ ํ ๋ ธ๋์ ํฉ์ ๊ตฌํด์ 0์ด ์๋ ๊ฒฝ์ฐ๋ ์ด๋ ์ด๋ถ ๊ทธ๋ํ๊ฐ ์๋๋ผ๋ ๊ฒ์ ๋ํ๋ธ๋ค.
(ex ํ์ฌ ๋ ธ๋์ ์ = 1, ์ธ์ ํ ๋ ธ๋์ ์ = 1 -> ํฉํ๋ฉด 2 -> ์ด๋ถ ๊ทธ๋ํ๊ฐ ์๋.)
3. ๋ชจ๋ ๋ ธ๋์ ๋ํด ์ ๊ณผ์ ์ ๋ฐ๋ณตํ๋ค.
์ฝ๋๋ก ๋ํ๋ด๋ฉด ์๋์ ๊ฐ๋ค.
์ด๋ ๊ฒ ํ๊ณ ์คํ์ ๋๋ ธ๋๋ฐ

๊ตฌํ ๋ฐฉ๋ฒ์ ๋ฌธ์ ๊ฐ ์์ด๋ณด์๋ค. ๊ฒฐ๊ตญ ๋ฐ๋ก๋ฅผ ์ฐพ์ง ๋ชปํ๊ณ ์ง๋ฌธ ๊ฒ์ํ์ ์ฐธ๊ณ ํ๋๋ ์ ์ ํ ๋ฐ๋ก๊ฐ ์์๋ค.
๋๋ ๋ฌธ์ ๋ฅผ ํด๊ฒฐํ ๋ ๋ชจ๋ ๊ฐ์ ์ด ์ฐ๊ฒฐ๋์ด ์๋ค๊ณ ์๊ฐํ์๊ณ BFS๋ฅผ ํ ๋ฒ๋ง ํ์ํ๋๋ก ์ฝ๋๋ฅผ ๊ตฌํํ์๋ค.
ํ์ง๋ง ์๋ ๊ทธ๋ฆผ๊ณผ ๊ฐ์ ๊ทธ๋ํ๋ ๊ฒฐ๊ตญ ์ด๋ถ ๊ทธ๋ํ๊ฐ ๋ ์ ์๋ค๋ ๊ฒ์ ์ธ์งํ์ง ๋ชปํ๋ค.

์ดํ ๊ทธ๋ํ๊ฐ ๋๋ ์ง ๊ฒฝ์ฐ์๋ ํ์์ ํ ์ ์๋๋ก ์ฝ๋๋ฅผ ์ถ๊ฐํ์๊ณ ํด๊ฒฐํ ์ ์์๋ค.

ํ์ด์ฌ์ผ๋ก ๊ตฌํํ ์ฝ๋์ด๋ค.
์ฃผ์ ์ฒ๋ฆฌํ ๋ถ๋ถ์ด ์์์ ๋งํ ๋ฐ๋ก๋ ํต๊ณผํ ์ ์๋๋ก ์ถ๊ฐํ ์ฝ๋์ด๋ค.
C++๋ก ๊ตฌํํ ์ฝ๋์ด๋ค.
์ธ์ด 2๊ฐ ์ ๋๋ ๋ฅ์ํ๊ฒ ์จ์ผํ๋ค๊ณ ์๊ฐํด์ C++๋ก๋ ๊ตฌํํ๊ณ ์๋๋ฐ ํ์คํ ํ์ด์ฌ์ด ์ฌ์ด ๊ฒ ๊ฐ๋ค.
"๋ฌธ์ ์ฝ๊ณ ํ์ด์ฌ์ผ๋ก ํด๊ฒฐํ๋ ์๊ฐ =< C++๋ก ๋ค์ ๊ตฌํํ๋ ์๊ฐ" ์ฝ๊ฐ ์ด๋ ๋ค...
'โ๏ธ ์ฝํ ์ค๋น > DFS, BFS' ์นดํ ๊ณ ๋ฆฌ์ ๋ค๋ฅธ ๊ธ
| [BFS][Kotlin] 2021 ์นด์นด์ค ์ฑ์ฉ์ฐ๊ณํ ์ธํด์ญ - ๊ฑฐ๋ฆฌ๋๊ธฐ ํ์ธํ๊ธฐ (0) | 2022.03.20 |
|---|---|
| [DFS์ BFS] [Python / C++] 1260. DFS์ BFS (0) | 2021.04.18 |
| [DFS์ BFS] [Python / C++] 7562. ๋์ดํธ์ ์ด๋. (0) | 2021.04.13 |
| [DFS์ BFS] [Python / C++] 2206. ๋ฒฝ ๋ถ์๊ณ ์ด๋ํ๊ธฐ. (0) | 2021.04.12 |